BusphotoBUSPHOTO

Picture Statistics

352 KB


Picture ID:462571
File Size:352 KB
Author:olegp
Publication Date:17.08.2022 21:13 EET
Days in Database:1220
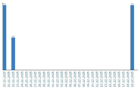
Unique views:178
Comments:0

Viewing statistics by date