BusphotoBUSPHOTO

Picture Statistics

472 KB


Picture ID:458573
File Size:472 KB
Author:ToBen
Publication Date:29.07.2022 20:54 EET
Days in Database:1286
Unique views:134
Comments:0

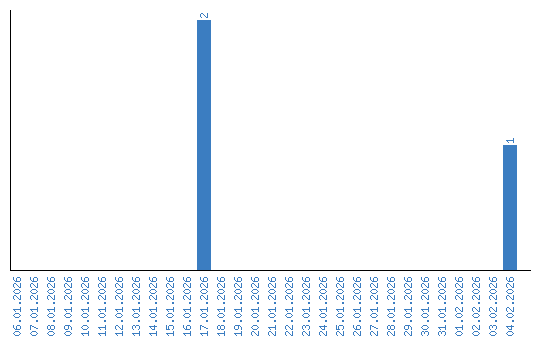
Viewing statistics by date