BusphotoBUSPHOTO

Picture Statistics

671 KB


Picture ID:454905
File Size:671 KB
Author:EvgeniyMAZ
Publication Date:07.07.2022 23:50 EET
Days in Database:1307
Unique views:208
Comments:0

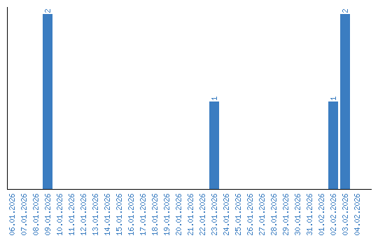
Viewing statistics by date