BusphotoBUSPHOTO

Picture Statistics

400 KB


Picture ID:454676
File Size:400 KB
Author:Kohsh_Kaush
Publication Date:06.07.2022 13:18 EET
Days in Database:1268
Unique views:434
Comments:0

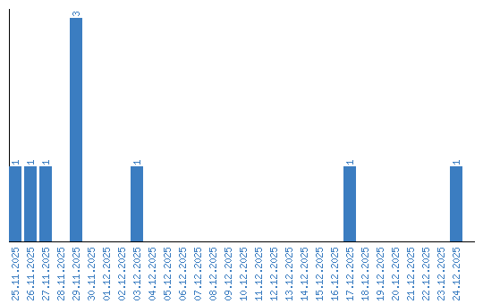
Viewing statistics by date