BusphotoBUSPHOTO

Picture Statistics

260 KB


Picture ID:454158
File Size:260 KB
Autorul:Kohsh_Kaush
Publication Date:03.07.2022 22:08 EET
Days in Database:1314
Unique views:183
Comments:0

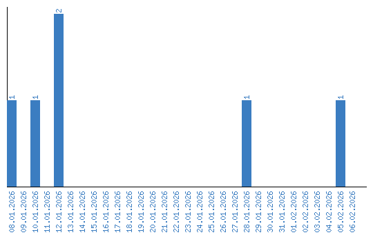
Viewing statistics by date