BusphotoBUSPHOTO

Picture Statistics

897 KB


Picture ID:453599
File Size:897 KB
Author:Кас
Publication Date:02.07.2022 10:32 EET
Days in Database:1316
Unique views:270
Comments:0

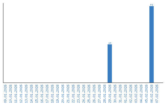
Viewing statistics by date