BusphotoBUSPHOTO

Picture Statistics

676 KB


Picture ID:450986
File Size:676 KB
Author:Lord Byron
Publication Date:18.06.2022 09:36 EET
Days in Database:1321
Unique views:333
Comments:0

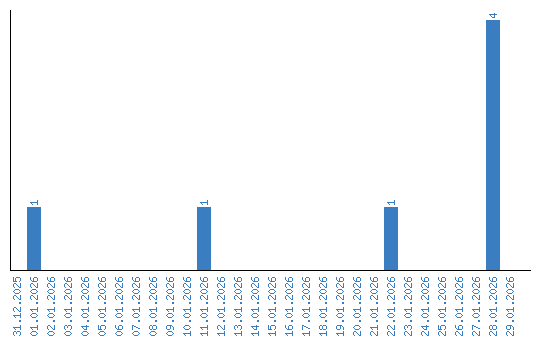
Viewing statistics by date