BusphotoBUSPHOTO

Picture Statistics

758 KB


Picture ID:449323
File Size:758 KB
Author:digital
Publication Date:09.06.2022 15:06 EET
Days in Database:1339
Unique views:195
Comments:0

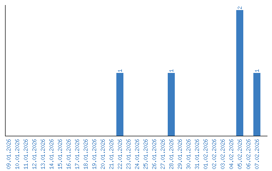
Viewing statistics by date