BusphotoBUSPHOTO

Picture Statistics

377 KB


Picture ID:448012
File Size:377 KB
Author:olegp
Publication Date:02.06.2022 09:15 EET
Days in Database:1343
Unique views:198
Comments:0

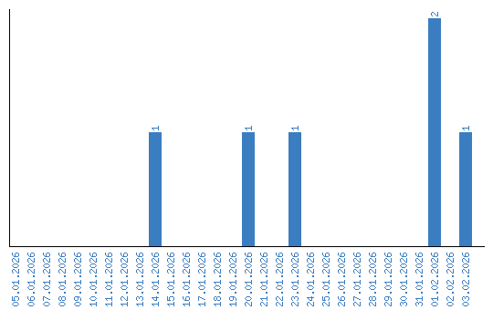
Viewing statistics by date