BusphotoBUSPHOTO

Picture Statistics

696 KB


Picture ID:447217
File Size:696 KB
Author:Bussmicke
Publication Date:28.05.2022 13:19 EET
Days in Database:1345
Unique views:311
Comments:0

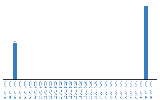
Viewing statistics by date