BusphotoBUSPHOTO

Picture Statistics

611 KB


Picture ID:447022
File Size:611 KB
Author:Antonio Mitkov
Publication Date:27.05.2022 15:15 EET
Days in Database:1342
Unique views:192
Comments:0

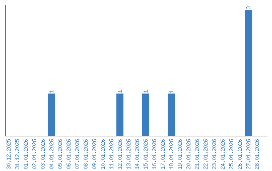
Viewing statistics by date