BusphotoBUSPHOTO

Picture Statistics

458 KB


Picture ID:445504
File Size:458 KB
Author:ToBen
Publication Date:19.05.2022 10:55 EET
Days in Database:1359
Unique views:128
Comments:0

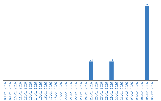
Viewing statistics by date