BusphotoBUSPHOTO

Picture Statistics

641 KB


Picture ID:440910
File Size:641 KB
Author:Michael
Publication Date:26.04.2022 21:41 EET
Days in Database:1357
Unique views:205
Comments:0

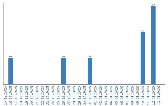
Viewing statistics by date