BusphotoBUSPHOTO

Picture Statistics

523 KB


Picture ID:440106
File Size:523 KB
Author:Valius Kedainietis
Publication Date:23.04.2022 16:17 EET
Days in Database:1396
Unique views:426
Comments:0

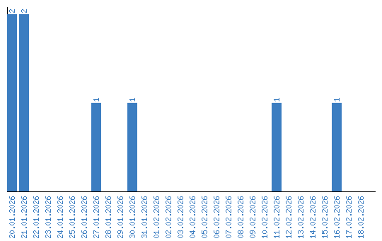
Viewing statistics by date