BusphotoBUSPHOTO

Picture Statistics

358 KB


Picture ID:43958
File Size:358 KB
Author:Сергей Nemtsev
Publication Date:06.07.2012 22:05 EET
Days in Database:4962
Unique views:237
Comments:1

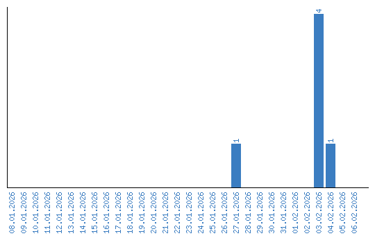
Viewing statistics by date