BusphotoBUSPHOTO

Picture Statistics

331 KB


Picture ID:438462
File Size:331 KB
Fotografato da:SavA
Publication Date:16.04.2022 15:12 EET
Days in Database:1391
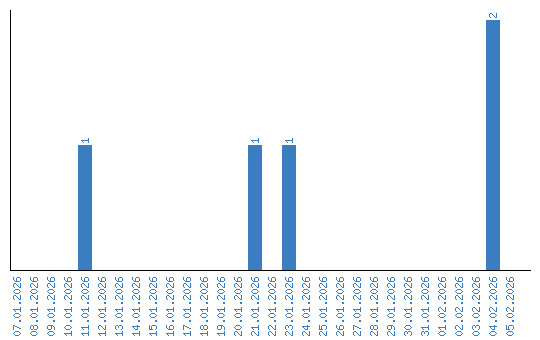
Unique views:105
Comments:0

Viewing statistics by date