BusphotoBUSPHOTO

Picture Statistics

907 KB


Picture ID:437160
File Size:907 KB
Author:danielsnk
Publication Date:10.04.2022 11:34 EET
Days in Database:1398
Unique views:471
Comments:3

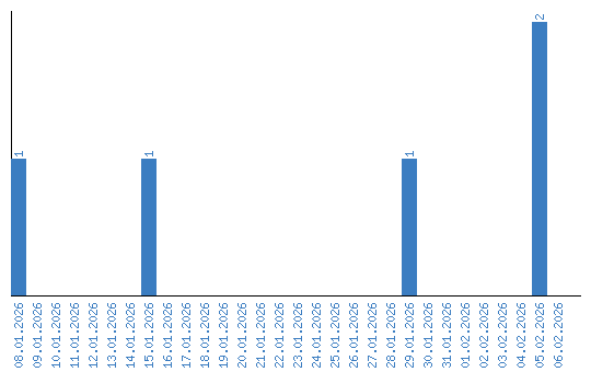
Viewing statistics by date