BusphotoBUSPHOTO

Picture Statistics

335 KB


Picture ID:434825
File Size:335 KB
Author:SavA
Publication Date:01.04.2022 22:45 EET
Days in Database:1399
Unique views:229
Comments:0

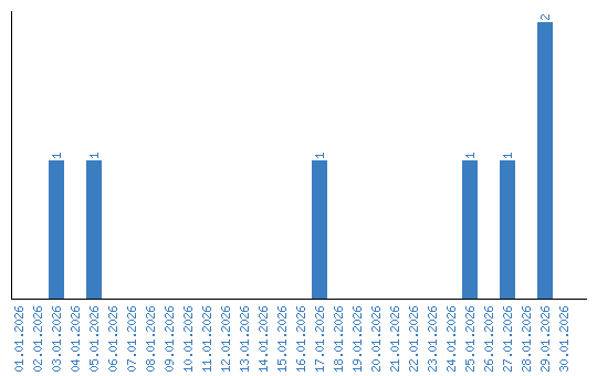
Viewing statistics by date