BusphotoBUSPHOTO

Picture Statistics

689 KB


Picture ID:434513
File Size:689 KB
Author:train master
Publication Date:31.03.2022 16:21 EET
Days in Database:1407
Unique views:239
Comments:0

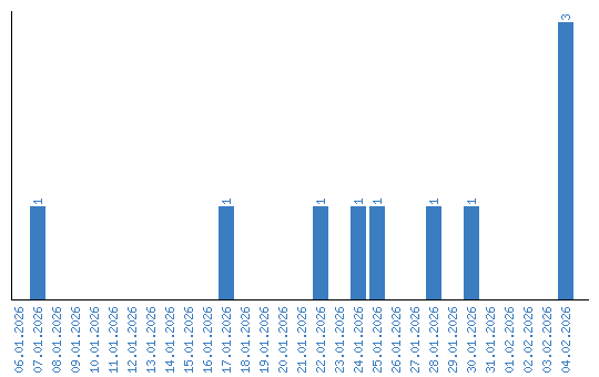
Viewing statistics by date