BusphotoBUSPHOTO

Picture Statistics

549 KB


Picture ID:433096
File Size:549 KB
Author:Артём Дмитренко
Publication Date:26.03.2022 10:51 EET
Days in Database:1415
Unique views:228
Comments:0

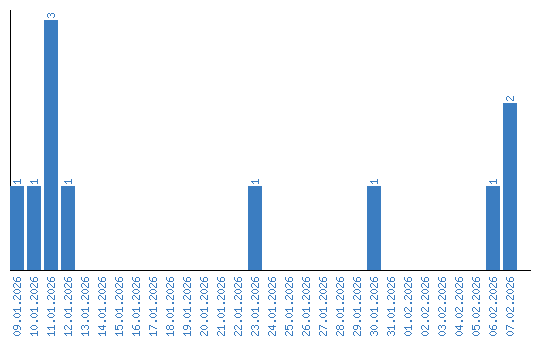
Viewing statistics by date