BusphotoBUSPHOTO

Picture Statistics

127 KB


Picture ID:431699
File Size:127 KB
Posted by:IKS
Publication Date:19.03.2022 20:30 EET
Days in Database:1422
Unique views:196
Comments:0

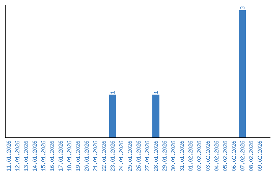
Viewing statistics by date