BusfotoBUSFOTO

Bildinformationen

570 KB


Foto-ID:430998
Dateigröße:570 KB
Aufgenommen von:Jan Korte
Veröffentlicht am:15.03.2022 20:41 EET
Tage seit Veröffentlichung:1375
Aufrufe:165
Kommentare:0

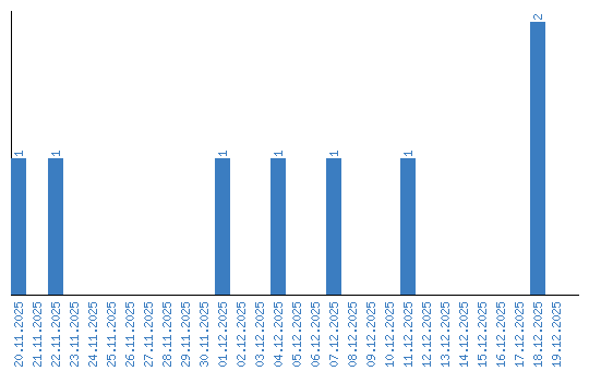
Aufrufestatistik (Tage)