BusphotoBUSPHOTO

Picture Statistics

230 KB


Picture ID:429244
File Size:230 KB
Posted by:IKS
Publication Date:06.03.2022 13:15 EET
Days in Database:1428
Unique views:231
Comments:2

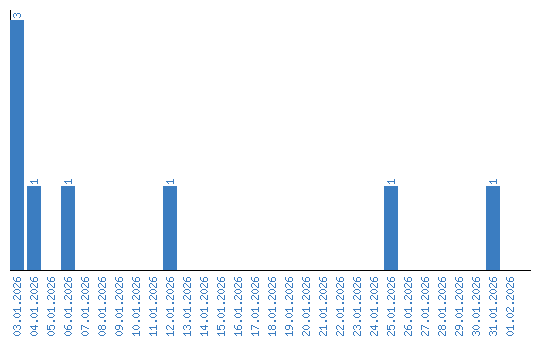
Viewing statistics by date