BusphotoBUSPHOTO

Picture Statistics

953 KB


Picture ID:425803
File Size:953 KB
Author:lordcar
Publication Date:15.02.2022 21:34 EET
Days in Database:1451
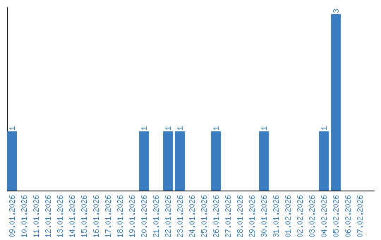
Unique views:827
Comments:1

Viewing statistics by date