BusphotoBUSPHOTO

Picture Statistics

823 KB


Picture ID:423688
File Size:823 KB
Author:Gracu_967
Publication Date:04.02.2022 20:46 EET
Days in Database:1419
Unique views:277
Comments:0

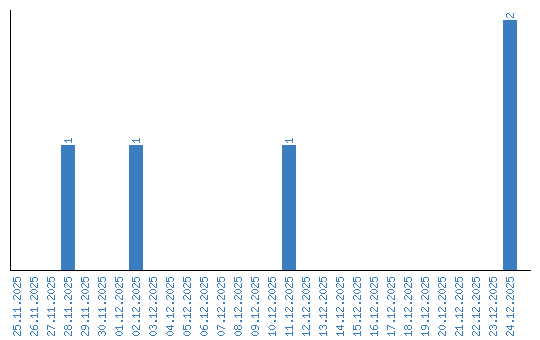
Viewing statistics by date