BusphotoBUSPHOTO

Picture Statistics

439 KB


Picture ID:423225
File Size:439 KB
Author:Latvia2007
Publication Date:02.02.2022 13:14 EET
Days in Database:1464
Unique views:325
Comments:0

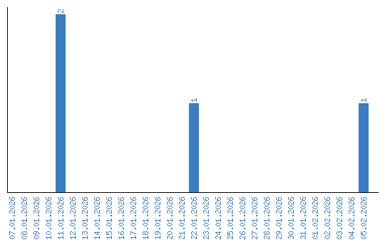
Viewing statistics by date