BusphotoBUSPHOTO

Picture Statistics

291 KB


Picture ID:422830
File Size:291 KB
Author:Der Zugchef
Publication Date:30.01.2022 22:24 EET
Days in Database:1467
Unique views:197
Comments:0

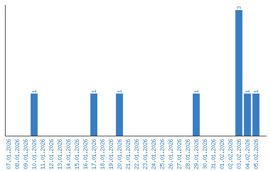
Viewing statistics by date