BusphotoBUSPHOTO

Picture Statistics

587 KB


Picture ID:417940
File Size:587 KB
Fotografato da:Lord Byron
Publication Date:03.01.2022 11:33 EET
Days in Database:1491
Unique views:484
Comments:0

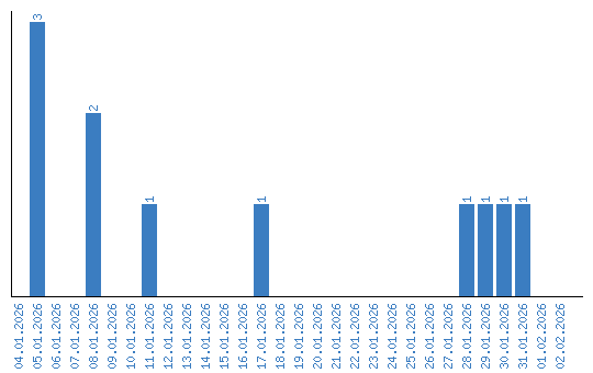
Viewing statistics by date