BusphotoBUSPHOTO

Picture Statistics

486 KB


Picture ID:41395
File Size:486 KB
Author:oleg-BY
Publication Date:15.06.2012 20:02 EET
Days in Database:4976
Unique views:281
Comments:0

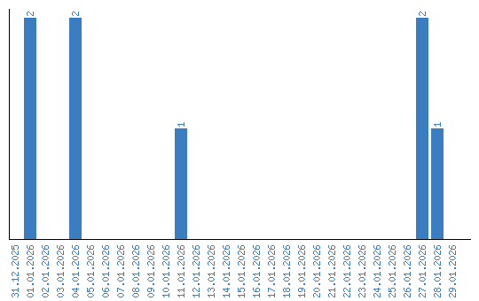
Viewing statistics by date