BusphotoBUSPHOTO

Picture Statistics

295 KB


Picture ID:411335
File Size:295 KB
Author:olegp
Publication Date:17.11.2021 20:04 EET
Days in Database:1537
Unique views:216
Comments:0

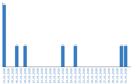
Viewing statistics by date