BusphotoBUSPHOTO

Picture Statistics

684 KB


Picture ID:410819
File Size:684 KB
Author:Chris_Verstärkerfahrt
Publication Date:11.11.2021 16:29 EET
Days in Database:1542
Unique views:357
Comments:0

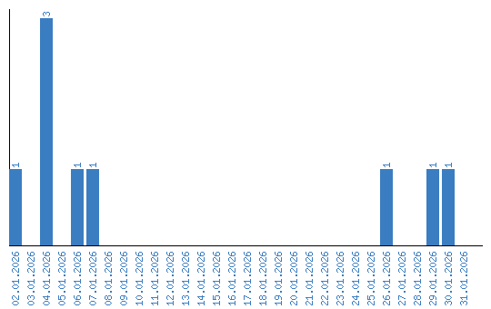
Viewing statistics by date