BusphotoBUSPHOTO

Picture Statistics

556 KB


Picture ID:410767
File Size:556 KB
Author:ÖPNV_fan_deutschland
Publication Date:10.11.2021 23:00 EET
Days in Database:1535
Unique views:205
Comments:0

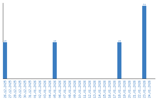
Viewing statistics by date