BusphotoBUSPHOTO

Picture Statistics

326 KB


Picture ID:408991
File Size:326 KB
Author:olegp
Publication Date:23.10.2021 18:49 EET
Days in Database:1570
Unique views:209
Comments:0

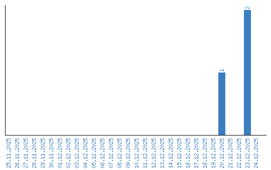
Viewing statistics by date