BusphotoBUSPHOTO

Picture Statistics

579 KB


Picture ID:407685
File Size:579 KB
Author:ÖPNV_fan_deutschland
Publication Date:13.10.2021 08:12 EET
Days in Database:1577
Unique views:394
Comments:0

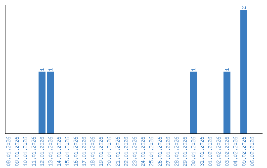
Viewing statistics by date