BusphotoBUSPHOTO

Picture Statistics

449 KB


Picture ID:39945
File Size:449 KB
Author:almostkenny
Publication Date:03.06.2012 19:09 EET
Days in Database:4947
Unique views:351
Comments:0

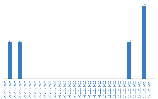
Viewing statistics by date