BusphotoBUSPHOTO

Picture Statistics

423 KB


Picture ID:394614
File Size:423 KB
Author:IKS
Publication Date:11.08.2021 19:45 EET
Days in Database:1639
Unique views:407
Comments:0

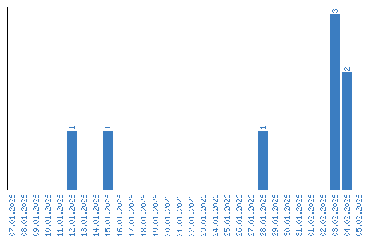
Viewing statistics by date