BusphotoBUSPHOTO

Informatsioon foto kohta

554 KB


Pildi ID:391667
Faili suurus:554 KB
Autor:Stephan Günther
Avaldatud:21.07.2021 21:35 EET
Päevi saidil:1661
Unikaalseid vaatamisi:258
Kommentaare:0

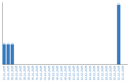
Vaatamiste statistika kuupäeviti