BusphotoBUSPHOTO

Picture Statistics

491 KB


Picture ID:391282
File Size:491 KB
Author:Kirilus
Publication Date:18.07.2021 21:27 EET
Days in Database:1664
Unique views:393
Comments:0

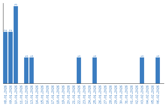
Viewing statistics by date