BusphotoBUSPHOTO

Picture Statistics

463 KB


Picture ID:383477
File Size:463 KB
Author:Lewar
Publication Date:17.05.2021 11:18 EET
Days in Database:1725
Unique views:261
Comments:0

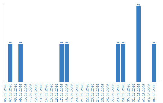
Viewing statistics by date