BusphotoBUSPHOTO

Picture Statistics

316 KB


Picture ID:38285
File Size:316 KB
Author:Александр З.
Publication Date:21.05.2012 10:43 EET
Days in Database:5008
Unique views:507
Comments:0

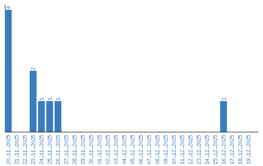
Viewing statistics by date