BusphotoBUSPHOTO

Picture Statistics

314 KB


Picture ID:376851
File Size:314 KB
Fotografato da:Neons
Publication Date:27.03.2021 11:08 EET
Days in Database:1734
Unique views:342
Comments:0

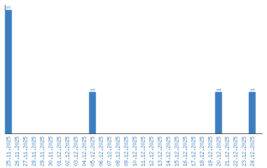
Viewing statistics by date