BusphotoBUSPHOTO

Picture Statistics

293 KB


Picture ID:376180
File Size:293 KB
Author:Neons
Publication Date:22.03.2021 10:38 EET
Days in Database:1729
Unique views:243
Comments:0

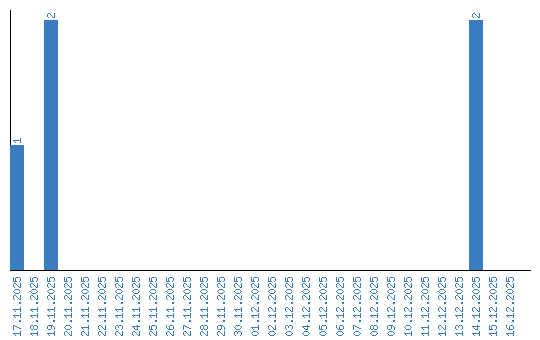
Viewing statistics by date