BusphotoBUSPHOTO

Picture Statistics

181 KB


Picture ID:375540
File Size:181 KB
Author:Bussmicke
Publication Date:17.03.2021 19:54 EET
Days in Database:1781
Unique views:441
Comments:0

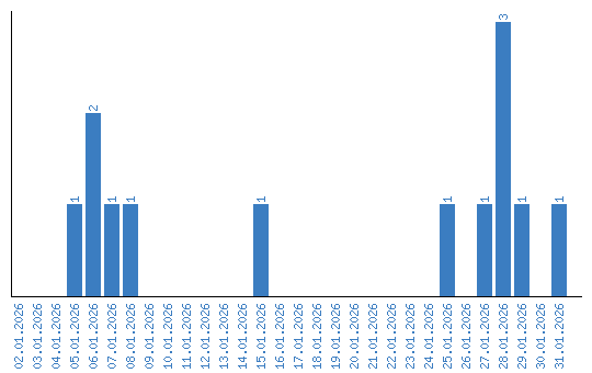
Viewing statistics by date