BusphotoBUSPHOTO

Picture Statistics

314 KB


Picture ID:375469
File Size:314 KB
Author:Neons
Publication Date:17.03.2021 14:08 EET
Days in Database:1752
Unique views:260
Comments:0

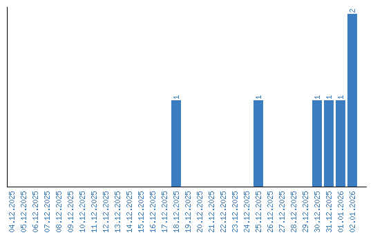
Viewing statistics by date