BusphotoBUSPHOTO

Picture Statistics

0 KB


Picture ID:371584
File Size:0 KB
Author:marqoos_pl
Publication Date:21.02.2021 22:28 EET
Days in Database:1812
Unique views:383
Comments:0

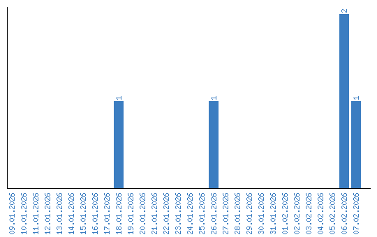
Viewing statistics by date