BusphotoBUSPHOTO

Picture Statistics

0 KB


Picture ID:371341
File Size:0 KB
Author:Der Zugchef
Publication Date:20.02.2021 19:15 EET
Days in Database:1811
Unique views:364
Comments:0

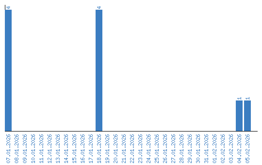
Viewing statistics by date