BusphotoBUSPHOTO

Picture Statistics

0 KB


Picture ID:371301
File Size:0 KB
Author:OnniL
Publication Date:20.02.2021 13:58 EET
Days in Database:1813
Unique views:292
Comments:0

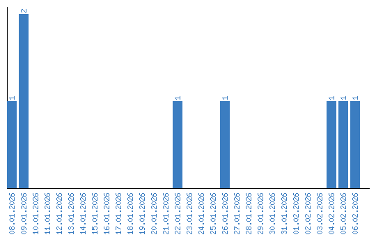
Viewing statistics by date