BusphotoBUSPHOTO

Picture Statistics

0 KB


Picture ID:371153
File Size:0 KB
Author:olegp
Publication Date:19.02.2021 19:25 EET
Days in Database:1805
Unique views:279
Comments:0

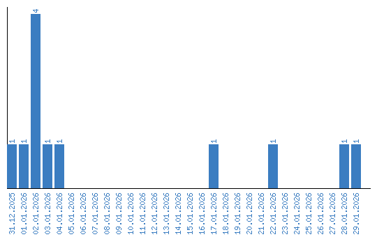
Viewing statistics by date