BusphotoBUSPHOTO

Picture Statistics

0 KB


Picture ID:370591
File Size:0 KB
Author:Neons
Publication Date:16.02.2021 09:12 EET
Days in Database:1816
Unique views:349
Comments:0

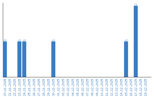
Viewing statistics by date