BusphotoBUSPHOTO

Picture Statistics

0 KB


Picture ID:368305
File Size:0 KB
Author:Артём Дмитренко
Publication Date:02.02.2021 20:47 EET
Days in Database:1828
Unique views:309
Comments:0

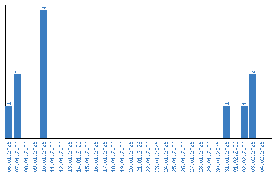
Viewing statistics by date